• Предмет: Алгебра
  • Автор: rara010611ganet
  • Вопрос задан 1 год назад

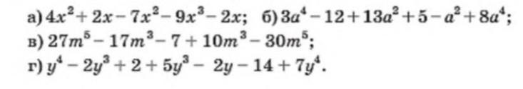
пожалуста вирішіть усі
дам 40 балів пожалуста ❤️​

Приложения:

Ответы

Ответ дал: albinagurkoantonova
1

Ответ:

Відповідь на фото<3

Можна лучший ответ?

Приложения:

rara010611ganet: дякую велике
Вас заинтересует