• Предмет: Алгебра
  • Автор: tazabaevikram
  • Вопрос задан 1 год назад

(sqrt(3) + sqrt(2))/(sqrt(3) - sqrt(2)) - (sqrt(3) - sqrt(2))/(sqrt(3) + sqrt(2))​

Ответы

Ответ дал: Alnadya
1

Решение .

Вычислить

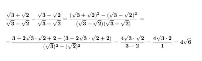
\bf \displaystyle \frac{\sqrt3+\sqrt2}{\sqrt3-\sqrt2}-\frac{\sqrt3-\sqrt2}{\sqrt3+\sqrt2}=\frac{(\sqrt3+\sqrt2)^2-(\sqrt3-\sqrt2)^2}{(\sqrt3-\sqrt2)(\sqrt3+\sqrt2)}=\\\\\\=\frac{3+2\sqrt3\cdot \sqrt2+2-(3-2\sqrt3\cdot \sqrt2+2)}{(\sqrt3)^2-(\sqrt2)^2}=\frac{4\sqrt3\cdot \sqrt2}{3-2}=\frac{4\sqrt{3\cdot 2}}{1}=4\sqrt6  

Приложения:
Вас заинтересует