• Предмет: Математика
  • Автор: Kulibom
  • Вопрос задан 2 года назад

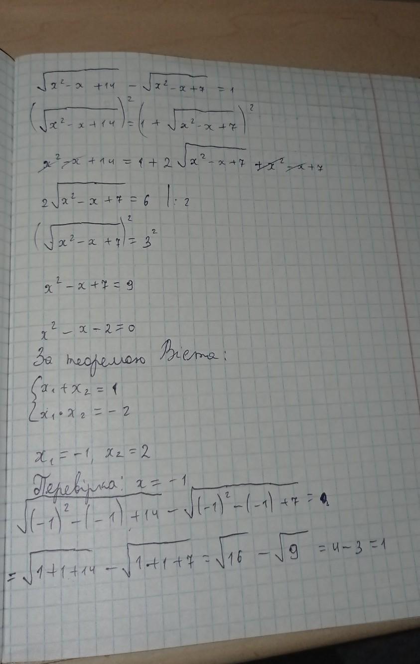
Помогите решить уравнение
Алгебра 10 класс

Приложения:

Ответы

Ответ дал: iryna04
1

Ответ:

Вот ответ (ПРИКРЕПИЛА фото)

Приложения:
Вас заинтересует