• Предмет: Математика
  • Автор: did807785
  • Вопрос задан 1 год назад

прошу на коленях помогите я буду вам ноги целовать если просто помогите​

Приложения:

Ответы

Ответ дал: shapovalvera0
1

Відповідь: 6

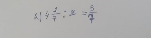
Покрокове пояснення: 4 2/7:х=5/7

x=4 2/7 : 5/7

x=30/7 * 7/5

x=6.

можно корону?

Ответ дал: darkstrik2000
2

Відповідь:

6

Покрокове пояснення:

Сначала превратим смешанное число в дробь,имеем 30/7 :x=5/7
X=30/7 : 5/7=30/7*7/5=30/5=6/1=6

Вас заинтересует