• Предмет: Алгебра
  • Автор: nadinkris2005
  • Вопрос задан 1 год назад

СРОЧНОООООООООООО ОЧЕНЬ

Приложения:

Ответы

Ответ дал: tolepbergenajsa06
0

Ответ:

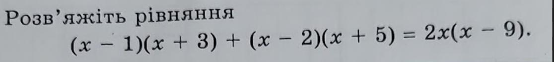
(x-1)(x+3)+(x-2)(x+5)=2x(x-9)

2x²+3x-2x-3+2x²+5x-2x-10=2x²-9

3x-3+5x-10= -9

3x+5= -8+3+10

8x=4

x=4÷8

x=0,5

Вас заинтересует