• Предмет: Алгебра
  • Автор: evasusenko56
  • Вопрос задан 1 год назад

Даю 55 балов срочно !!!!​

Приложения:

Ответы

Ответ дал: iramazurk
0

Объяснение:

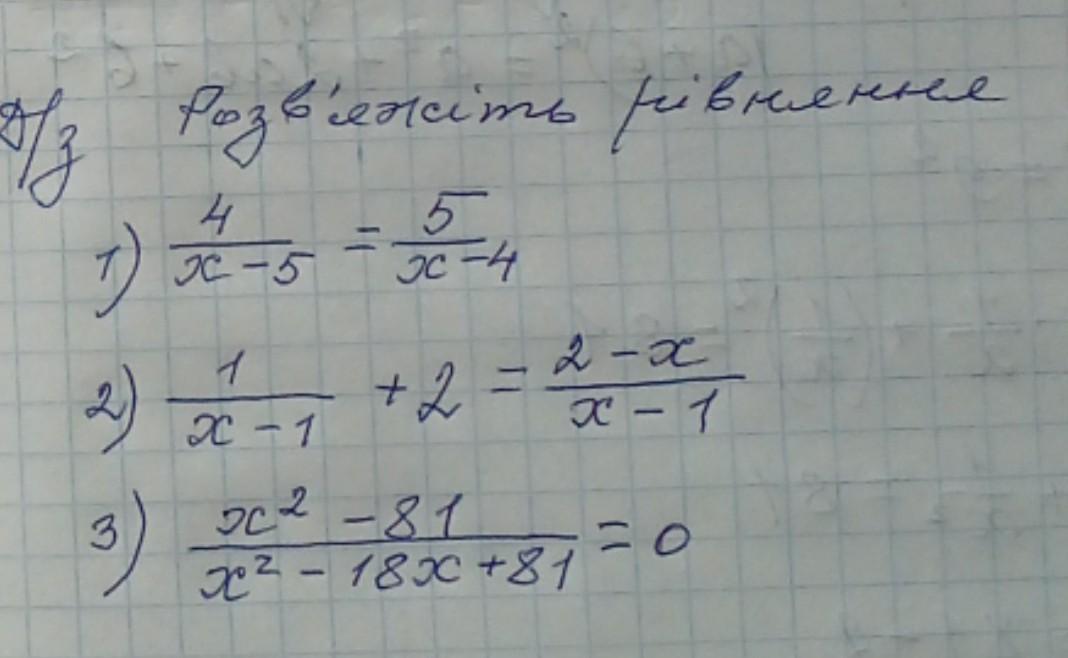
1

4/(х - 5) = 5/(х - 4) ОДЗ: х 5; х 4

4(х - 4) = 5(х - 5)

4х - 16 = 5х - 25

4х - 5х = -25 + 16

-х = -9

х = 9

2

1/(х - 1) + 2 = (2 - х)/(х - 1) | * (х - 1) ОДЗ: х 1

1 + 2(х - 1) = 2 - х

1 + 2х - 2 = 2 - х

2х - 1 = 2 - х

2х + х = 2 + 1

3х = 3

х = 3 : 3

х = 1 х 1

х Є

3

(х² - 81)/(х² - 18х + 81) = 0 ОДЗ: х 9

( (х-9)(х+9) )/( (х-9)² ) = 0

(х + 9)/(х - 9) = 0

х + 9 = 0

х = -9

х - 9 = 0

х = 9 х 9

Ответ: -9

Вас заинтересует