• Предмет: Алгебра
  • Автор: salukdasa9
  • Вопрос задан 1 год назад

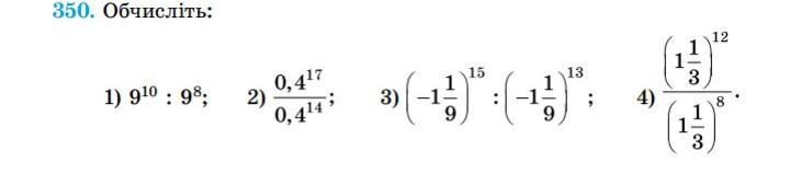
допоможіть 35 балів ​

Приложения:

ВикаБач: 1)=9^(10-8)=9^2=81; 2)=(0.4)^(17-14)=(0.4)^3=0.064; 3) =(-10/9)^2=100/81=1 19/81; 4) = (4/3)^4=256/81

Ответы

Ответ дал: mari5182
1

Ответ:

1. 81

2. 8/125

3. 100/81

4. 256/81

вроді так


salukdasa9: дякую але мені потрібні цілі дії але дякую
mari5182: 1. 81 тому що 9¹⁰ : 9⁸ = 9², 9 у 2 степені буде 81(9•9)
Вас заинтересует