Ответы
Ответ дал:
1
Ответ:
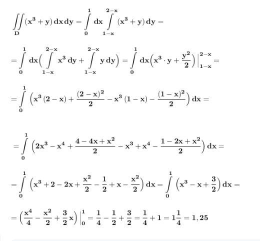
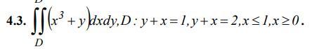
Вычислить двойной интеграл по области D .
Область проектируется на ось ОХ в отрезок [ 0 ; 1 ] . Точка входа в область лежит на прямой у = 1 - х , точка выхода - на прямой у = 2 - х
Приложения:


NNNLLL54:
нажми "спасибо"
Вас заинтересует
1 год назад
1 год назад
1 год назад
2 года назад
2 года назад