Ответы
Ответ дал:
0
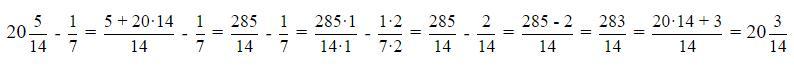
Ответ на фото с правельным решением)
Приложения:

Вас заинтересует
1 год назад
1 год назад
1 год назад
1 год назад
8 лет назад