Ответы
Ответ дал:
2
Ответ:
1.В
2.хз(
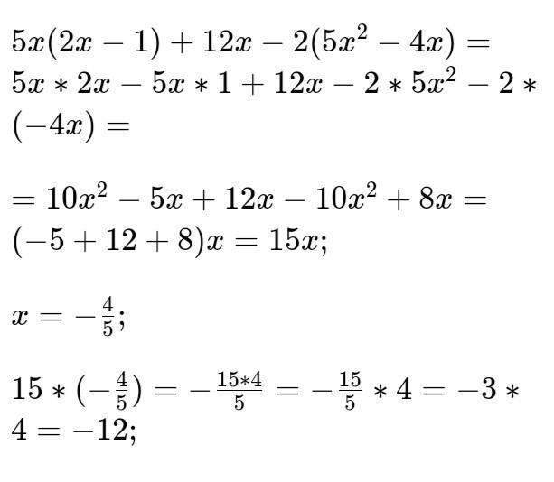
3.ответ на фото
4. (0,8а² + а3 - 0,72 - 5) - (0,2а² +а3 - 0,8а²- 7) = = 0,84 + а3 - 0,7a2-5 - 0,2a4a3 + 0,8а²+7 = 0,6a+ 0,1a2+2
0,6a+ 0,1a2+222
a4 ≥ 0 a²≥0
Отже найменше значення набуває при а = 0
0,6* 0++ 0,1* 0²+2 ≥2
Объяснение:
ялох
Приложения:

matvijcukveronika00:
дякую оціню кили буде результат самостійної
Вас заинтересует
1 год назад
1 год назад
1 год назад
1 год назад
2 года назад
2 года назад
8 лет назад