Ответы
Ответ дал:
1
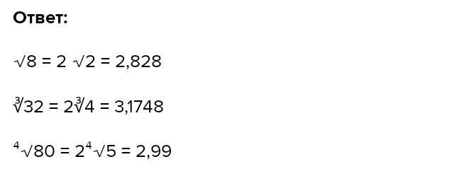
Ответ:
вот.........................
Приложения:

Вас заинтересует
1 год назад
1 год назад
1 год назад
2 года назад
2 года назад
8 лет назад