Даю 60 баллов!
Первый столбец дописать уравнение реакций.
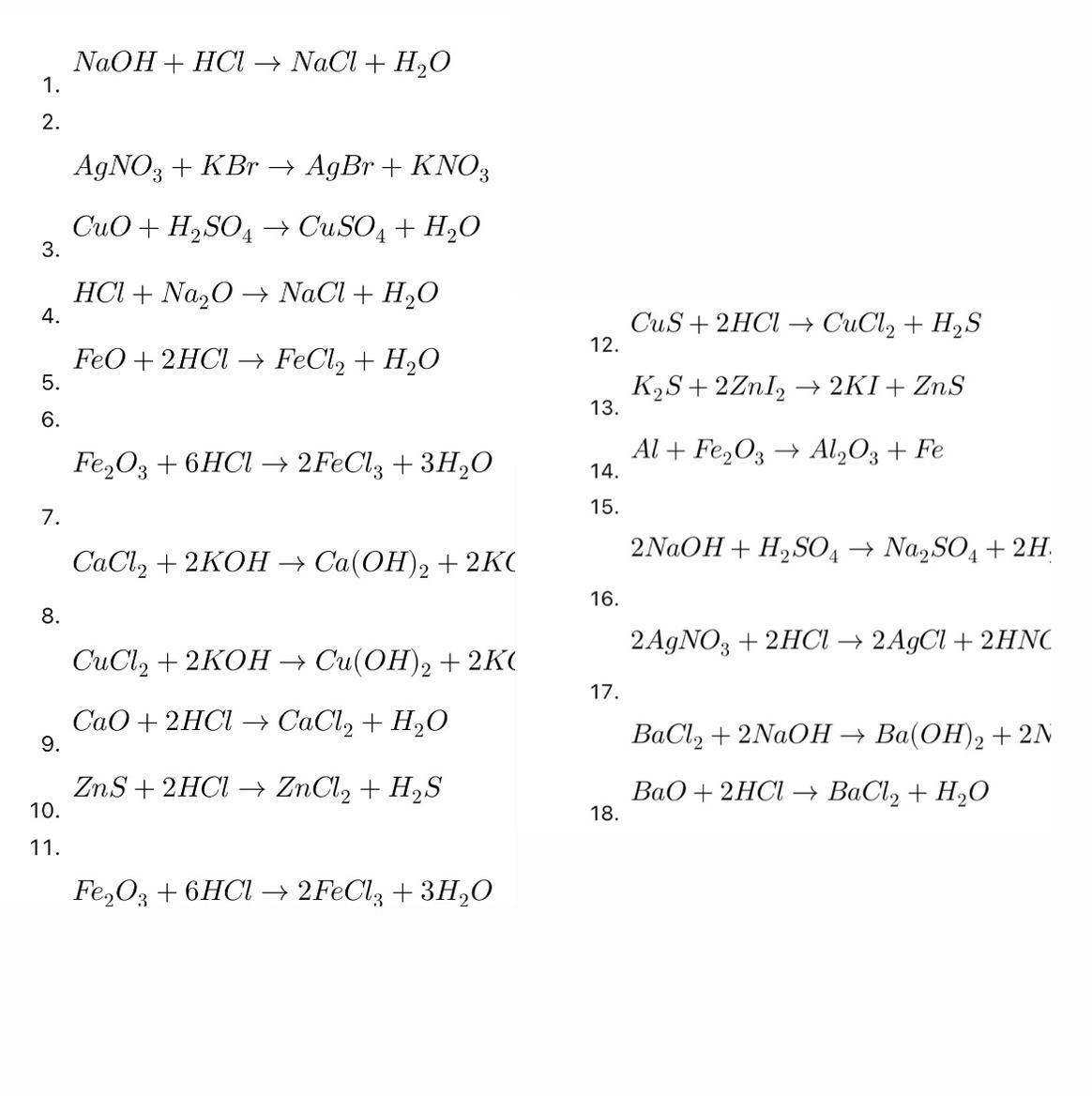
Второй, дописать уравнения реакций обмена, расставить коэфиценты.
Приложения:


Ответы
Ответ дал:
1
там куски обрезаны, я думаю поймешь что дописать
Приложения:

sobogdan23:
А где второй столбец?
1. H₂ + CuO → H₂O + Cu
2. MgO + C → Mg + CO
3. CuBr₂ + 2Fe → 2FeBr + Cu
4. Zn + 2HCl → ZnCl₂ + H₂
5. CuCl₂ + Fe → FeCl₂ + Cu
6. 3Fe + 4H₂S → 3FeS + 4H₂
7. Zn + 2HCl → ZnCl₂ + H₂
8. Zn + 2AlCl₃ → 2AlCl₂ + Zn
9. 4Al + 3O₂ → 2Al₂O₃
10. 2MnO₂ + 4H₂ → 2MnO₂ + 2H₂O
11. 6Fe + 2HCl → 2FeCl₃ + 3H₂
12. Mg + 2CuCl₂ → MgCl₂ + 2Cu
13. Zn + CuSO₄ → ZnSO₄ + Cu
14. 2Al + 6HCl → 2AlCl₃ + 3H₂
15. 2Ag₂O + Zn → 2Ag + ZnO
16. CuO + 2Al → Al₂O₃ + Cu
17. Cu + 2HgCl₂ → 2CuCl + Hg₂Cl₂
18. H₂SO₄ + Fe → FeSO₄ + H₂
Вас заинтересует
1 год назад
1 год назад
1 год назад
2 года назад
8 лет назад