Ответы
Ответ дал:
0
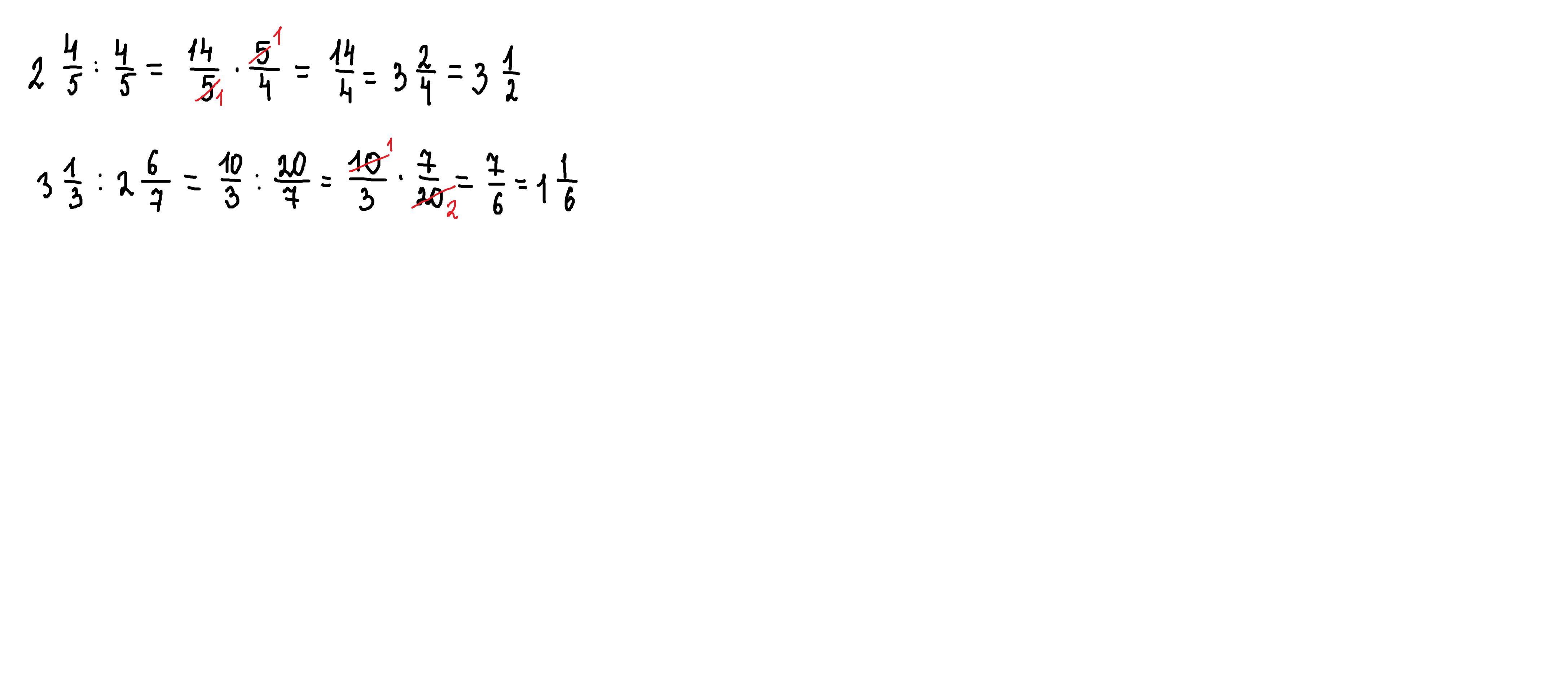
Ответ: 1) три цілих дві четвертих 2) одна ціла одна шоста
Пошаговое объяснение:
Ответ дал:
0
Ответ:
Пошаговое объяснение:
решение внизу
Приложения:

Вас заинтересует
1 год назад
1 год назад
1 год назад
2 года назад
2 года назад
8 лет назад
8 лет назад