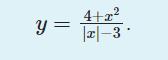
Знайти область визначення функції.
У відповідь запиши суму чисел, в яких функція не визначена
Приложения:

Ответы
Ответ дал:
0
Ответ: там
Объяснение: ну там область визначення 3 та -3 якщо їх скласти буде 0, та ч прошла тест то правильно
nykyhanna:
А можешь пожалуйста полностью тест скинуть..?) если нужно вот мой тг @anykyf
Вас заинтересует
1 год назад
1 год назад
1 год назад
1 год назад
2 года назад
2 года назад
8 лет назад