• Предмет: Алгебра
  • Автор: mishylka88
  • Вопрос задан 1 год назад

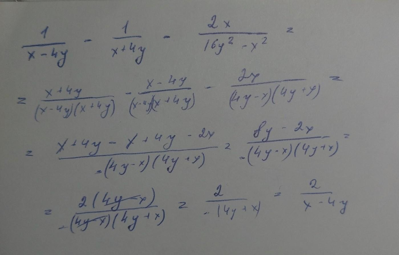
Доведіть тотожність ​

Приложения:

Ответы

Ответ дал: timofei9009900
0

Ответ:

смотриииииииии фотооооооооооооооо

Приложения:

mishylka88: СПАСИБО
Ответ дал: Пеппер
0

Ответ:

на фото

Объяснение:

Приложения:

Аноним: можете помочь с алгеброй у меня в профиле
Вас заинтересует