• Предмет: Алгебра
  • Автор: artemstrocuk6
  • Вопрос задан 2 года назад

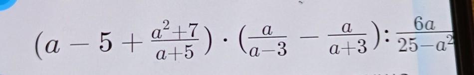
Знайдіть значення виразу якщо a = 0,5​

Приложения:

Ответы

Ответ дал: margarashko
0

Ответ:

Рішення

Объяснение:

Приложения:
Вас заинтересует