• Предмет: Математика
  • Автор: ichbinyura
  • Вопрос задан 1 год назад

Помогите решить, 45 баллов

Приложения:

Ответы

Ответ дал: iryna04
1

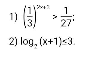
1) \: ( \frac{1}{3} ) {}^{2x + 3} >  \frac{1}{27}

( \frac{1}{3} ) {}^{2x + 3} > ( \frac{1}{3} ) {}^{3}

2x + 3  <  3 \\ x < 0

xЄ(-∞; 0)

.

2) \:  log_{2}(x + 1)  \leqslant 3 \\ x + 1 \leqslant 8 \\ x \leqslant 7

ОДЗ: x + 1 > 0

x > -1

xЄ(-1; 7]

Вас заинтересует