Ответы
Ответ дал:
0
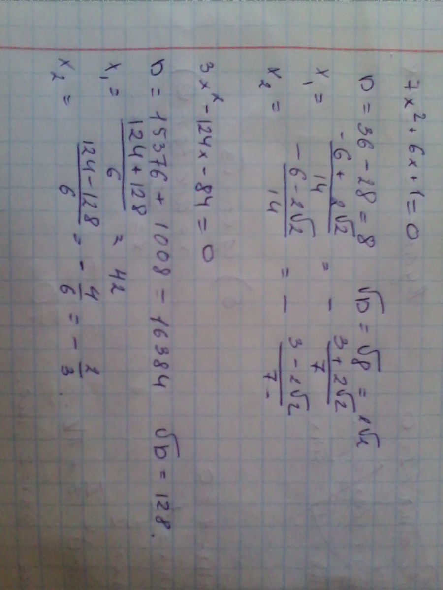
7X^2 + 6X + 1 = 0
D = 36 - 4*7*1 = 36 - 28 = 8
V D = V 8 = 2 V 2
X1 = ( - 6 + 2 V 2 ) / 14 = ( - 3 + V 2 ) / 7
X2 = ( - 6 - 2 V 2 ) / 14 = ( - 3 - V 2 ) / 7
======================
3X^2 - 124X - 84 = 0
D = 15376 - 4*3*(-84 ) = 15376 + 1008 = 16384
V D = 128
X1 = ( 124 + 128 ) : 6 = 42
X2 = ( - 4 ) : 6 = ( - 2/3 )
D = 36 - 4*7*1 = 36 - 28 = 8
V D = V 8 = 2 V 2
X1 = ( - 6 + 2 V 2 ) / 14 = ( - 3 + V 2 ) / 7
X2 = ( - 6 - 2 V 2 ) / 14 = ( - 3 - V 2 ) / 7
======================
3X^2 - 124X - 84 = 0
D = 15376 - 4*3*(-84 ) = 15376 + 1008 = 16384
V D = 128
X1 = ( 124 + 128 ) : 6 = 42
X2 = ( - 4 ) : 6 = ( - 2/3 )
Ответ дал:
0
вот, но мне кажется, что у тебя ощибка в задании, в первом. Там наверное не +1, а -1... если так, то напиши в комментарии
Приложения:
Ответ дал:
0
нет там +1 должен быть )))
Ответ дал:
0
ну значит ответ с корнем)
Вас заинтересует
8 лет назад
8 лет назад
11 лет назад
11 лет назад
11 лет назад