• Предмет: Математика
  • Автор: Yykiomeo
  • Вопрос задан 2 года назад

Вирішіть в номері 594 третє і четверте рівняння, дуже потрібно!!!

Приложения:

Ответы

Ответ дал: GlypiyBETA
1

Ответ:

3.
2x-1/3=1/2
2(2х-1)=3
4х-2=3
4х=3+2
4х=5
х=5/4


4. 3/4=х-1/3.2
3/4=х-1/16/5
3/4=(х-1)*5/16
3/4=5х-5/16
48=4(5х-5)/16
12=5х-5
-5х=-5-12
-5х=-17
х=17/5

Пошаговое объяснение:

Люблю целую переписывай

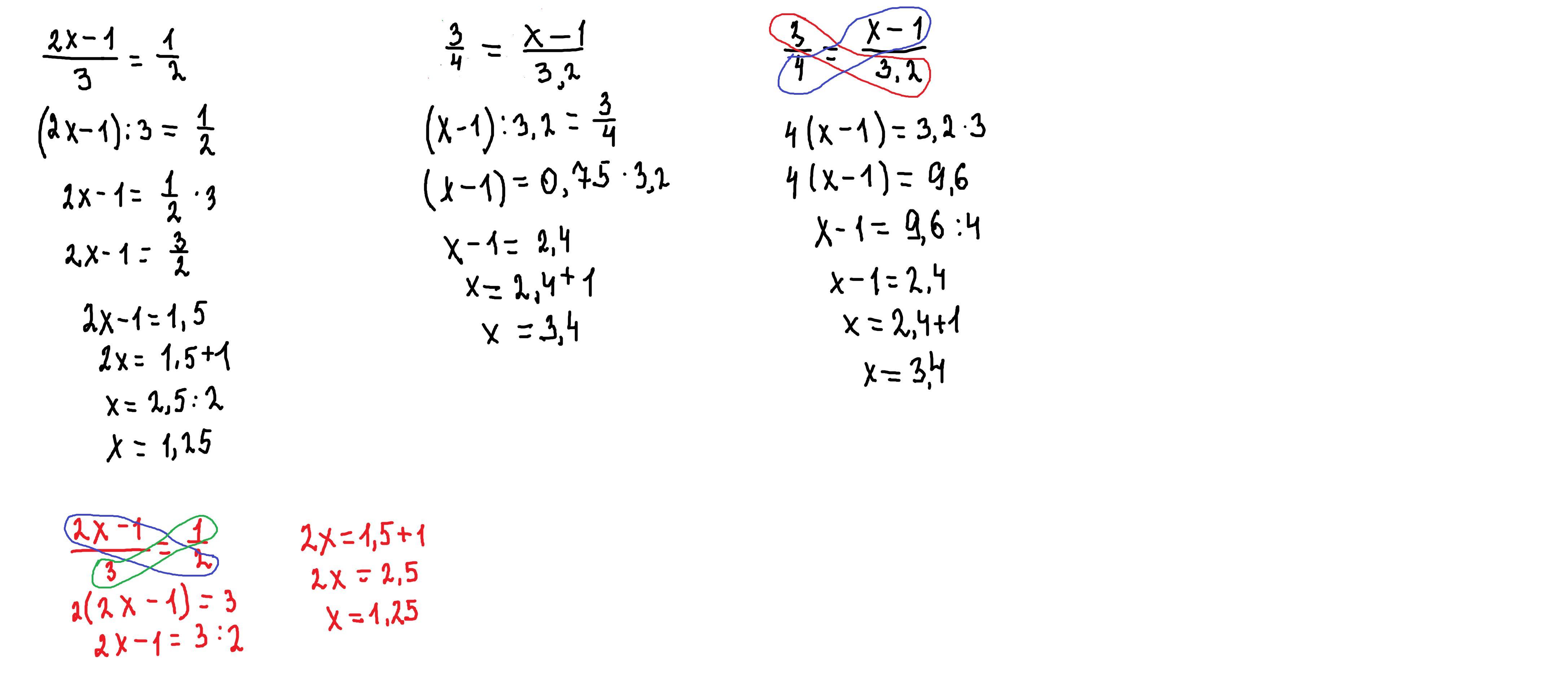
Ответ дал: parus77
2

Ответ:

Пошаговое объяснение:

я не знаю каким способом вам надо решать,решила двумя,как простое уравнение и как пропорцию

Приложения:

sever0000: Добрий вечер.
Помогите пожалуйста с математикой. Умоляю помогите.
Вас заинтересует