• Предмет: Алгебра
  • Автор: utemis06
  • Вопрос задан 2 года назад

Пожалуйста, выполните упражнение 8.4 (в, г), даю 100 баллов

Приложения:

Ответы

Ответ дал: NNNLLL54
0

Ответ:

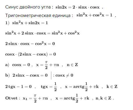
Синус двойного угла :  \bf sin2x=2\cdot sinx\cdot cosx  .

Тригонометрическая единица :   \bf sin^2x+cos^2x=1  .          

\bf 1)\ \ sin^2x+sin2x=1\\\\sin^2x+2\, sinx\cdot cosx=sin^2x+cos^2x\\\\2\, sinx\cdot cosx-cos^2x=0\\\\cosx\cdot (2\, sinx-cosx)=0\\\\a)\ \ cosx=0\ ,\ \ x=\dfrac{\pi }{2}+\pi n\ \ ,\ \ n\in Z\\\\b)\ \ 2\, sinx-cosx=0\ \ \Big|:cosx\ne 0\\\\2\, tgx-1=0\ \ ,\ \ \ tgx=\dfrac{1}{2}\ \ ,\ \ x=arctg\dfrac{1}{2} +\pi k\ \ ,\ \ k\in Z\\\\Otvet:\ x_1=\dfrac{\pi }{2}+\pi n\ \ ,\ \ x=arctg\dfrac{1}{2}+\pi k\ \ ,\ n,k\in Z\ .        

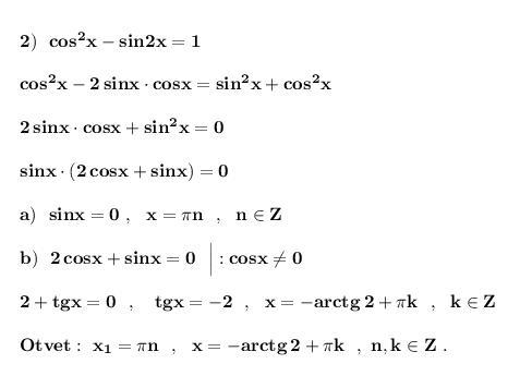
\bf 2)\ \ cos^2x-sin2x=1\\\\cos^2x-2\, sinx\cdot cosx=sin^2x+cos^2x\\\\2\, sinx\cdot cosx+sin^2x=0\\\\sinx\cdot (2\, cosx+sinx)=0\\\\a)\ \ sinx=0\ ,\ \ x=\pi n\ \ ,\ \ n\in Z\\\\b)\ \ 2\, cosx+sinx=0\ \ \Big|:cosx\ne 0\\\\2+tgx=0\ \ ,\ \ \ tgx=-2\ \ ,\ \ x=-arctg\, 2 +\pi k\ \ ,\ \ k\in Z\\\\Otvet:\ x_1=\pi n\ \ ,\ \ x=-arctg\, 2+\pi k\ \ ,\ n,k\in Z\ .              

Приложения:
Вас заинтересует