• Предмет: Математика
  • Автор: mpradka56
  • Вопрос задан 2 года назад

Даю 50 баллов, СРОЧНО!​

Приложения:

Ответы

Ответ дал: NNNLLL54
0

Ответ:

Найти значения  a , b , c , при которых являются тождествами заданные равенства .

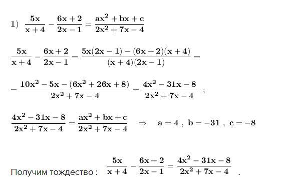
\displaystyle \bf 1)\ \ \frac{5x}{x+4}-\frac{6x+2}{2x-1}=\frac{ax^2+bx+c}{2x^2+7x-4}\\\\\\\frac{5x}{x+4}-\frac{6x+2}{2x-1}=\frac{5x(2x-1)-(6x+2)(x+4)}{(x+4)(2x-1)}=\\\\\\=\frac{10x^2-5x-(6x^2+26x+8)}{2x^2+7x-4}=\frac{4x^2-31x-8}{2x^2+7x-4}\ \ ;\\\\\\\frac{4x^2-31x-8}{2x^2+7x-4}=\frac{ax^2+bx+c}{2x^2+7x-4}\ \ \ \Rightarrow \ \ \ a=4\ ,\ b=-31\ ,\ c=-8              

Получим тождество :    \bf \dfrac{5x}{x+4}-\dfrac{6x+2}{2x-1}=\dfrac{4x^2-31x-8}{2x^2+7x-4}   .

\displaystyle \bf 2)\ \ \frac{a}{x-4}+\frac{b}{4+x}+\frac{c}{x}=\frac{48-4x}{x^3-16x}\\\\\\ \frac{a}{x-4}+\frac{b}{4+x}+\frac{c}{x}=\frac{ax\, (x+4)+bx(x-4)+c(x-4)(x+4)}{x(x-4)(x+4)}=\\\\\\=\frac{ax^2+4ax+bx^2-4bx+cx^2-16c}{x(x^2-16)}=\frac{(a+b+c)x^2+(4a-4b)x-16c}{x^3-16x}\\\\\\\frac{(a+b+c)x^2+(4a-4b)x-16c}{x^3-16x}=\frac{48-4x}{x^3-16x}\ \ \ \Rightarrow \\\\\\a+b+c=0\ \ ,\ \ 4a-4b=-4\ \ ,\ \ \ -16c=48  

\left\{\begin{array}{l}\bf a+b+c=0\\\bf 4a-4b=-4\\\bf -16c=48\end{array}\right\ \ \left\{\begin{array}{l}\bf a+b-3=0\\\bf a-b=-1\\\bf c=-3\end{array}\right\ \ \left\{\begin{array}{l}\bf a+b=3\\\bf a-b=-1\\\bf c=-3\end{array}\right\ \ \left\{\begin{array}{l}\bf 2a=2\\\bf 2b=4\\\bf c=-3\end{array}\right\\\\\\\left\{\begin{array}{l}\bf a=1\\\bf b=2\\\bf c=-3\end{array}\right    

Получим тождество :    \displaystyle \bf \frac{1}{x-4}+\frac{2}{4+x}-\frac{3}{x}=\frac{48-4x}{x^3-16x}\displaystyle

Приложения:
Вас заинтересует