• Предмет: Математика
  • Автор: kolyan1antinarkoman
  • Вопрос задан 1 год назад

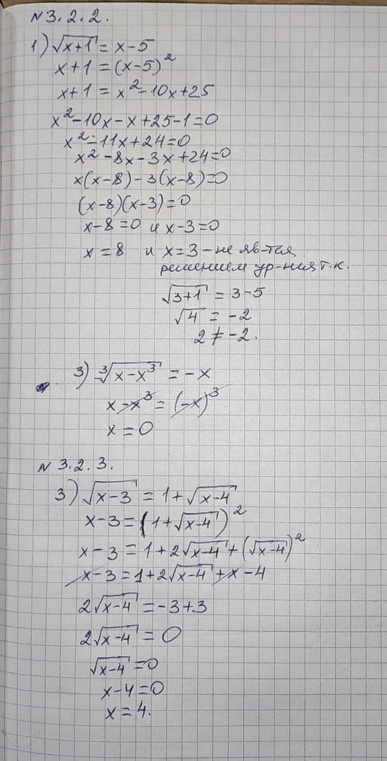
задания находится на фото

Приложения:

Ответы

Ответ дал: tetamotatetyamotya
1

Ответ:

..............

Пошаговое объяснение:

...................

Приложения:

kolyan1antinarkoman: сейчас в течени 10-15 секунд выствляю последнее задание
kolyan1antinarkoman: готово
Вас заинтересует