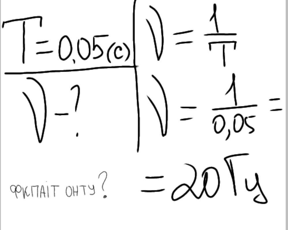
За стробоскопічною фотографією коливань Маятника визначте частоту коливань маятника. Початок зйомки збігається з моментом найбільшого відхилення маятника від положення рівноваги, інтервал між спалахами стробоскопа 0,05 с. Відповідь наведіть Герцах
Приложения:

Ответы
Ответ дал:
1
Відповідь:
20
Пояснення:
️
Приложения:

Вас заинтересует
1 год назад
1 год назад
1 год назад
2 года назад
2 года назад
8 лет назад