• Предмет: Алгебра
  • Автор: lsvtlkn
  • Вопрос задан 1 год назад

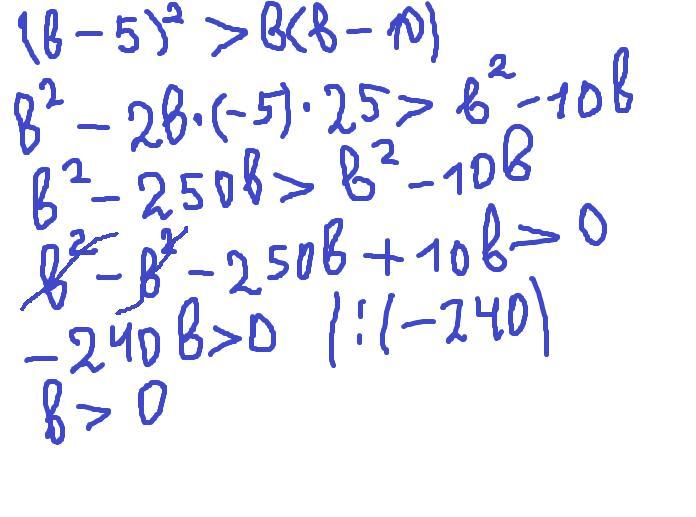
B) (b − 5)² > b(b - 10);​

Ответы

Ответ дал: Juliaspeshbond
1

Ответ:

Відповідь та рішення цього завдання наведено на малюнку нижче

Объяснение:

Приложения:

lsvtlkn: спасибо большое!)
Juliaspeshbond: Сподіваюсь, що все правильно)
Juliaspeshbond: Не за что!
Вас заинтересует