• Предмет: Алгебра
  • Автор: Wenlisa
  • Вопрос задан 1 год назад

Помогите пожалуйста нужно до 14.05

Приложения:

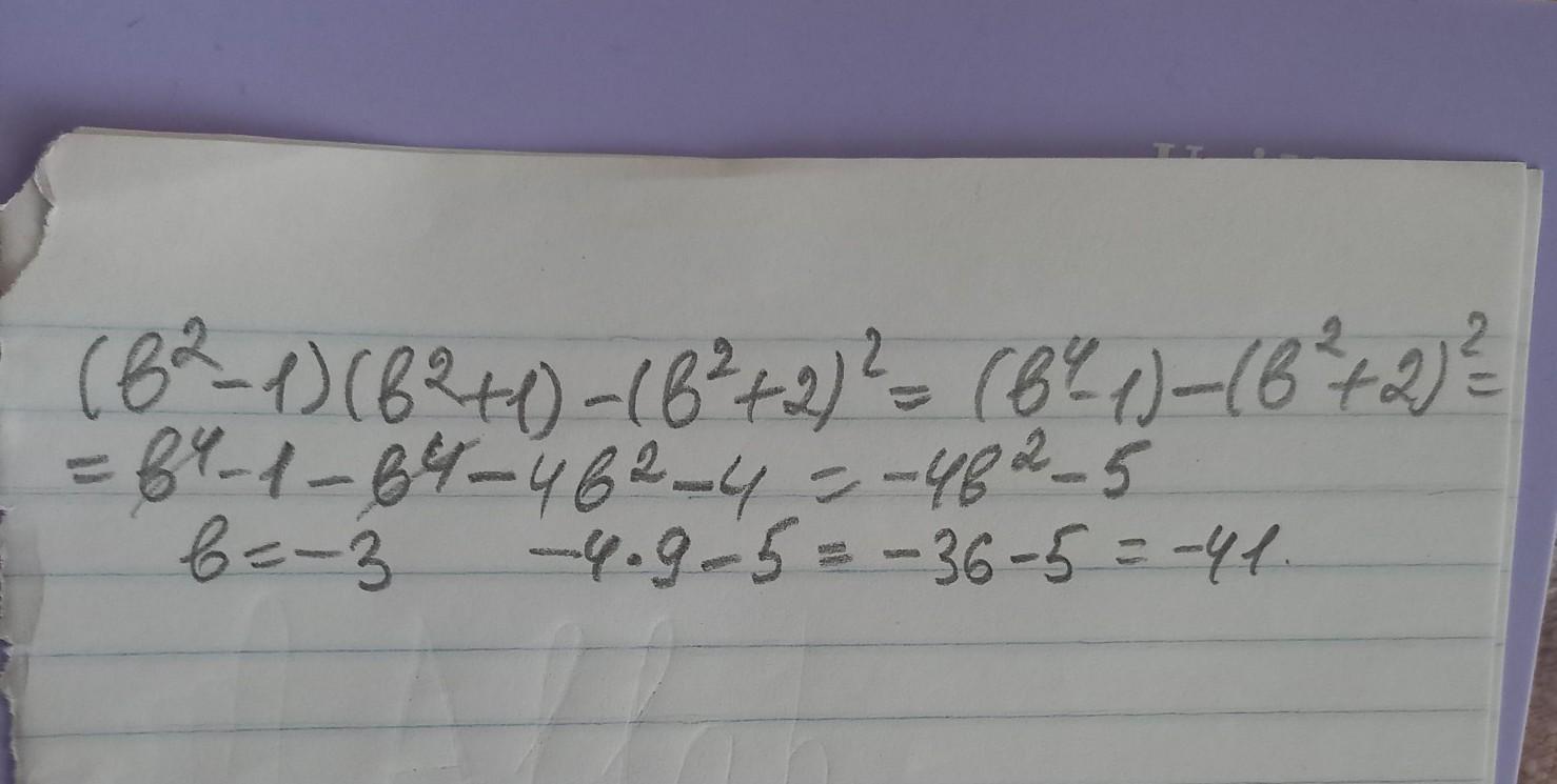
aarr04594: =b⁴-1-b⁴-4b²-4=-4b²-5=-4×(-3)²-5=-36-5=-41

Ответы

Ответ дал: larihas
1

Ответ:

вот пожалуйста, не благодарить

Приложения:
Ответ дал: ludmilaksenija2005
1

Объяснение:

b= -3

(b²-1)(b²+1)-(b²+2)²=(b²)²-1²-((b²)²+2b²•2+2²)=

=b⁴-1-(b⁴+4b²+4)=b⁴-1-b⁴-4b²-4=

= -4b²-5= -4•(-3)²-5= -4•9-5= -36-5= -41

Вас заинтересует