• Предмет: Алгебра
  • Автор: 9w0ww
  • Вопрос задан 1 год назад

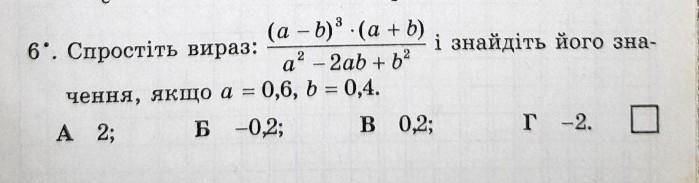
СРОЧНО ВАША ПОМОЩЬ У МЕНЯ ОЛИМПИАДА

A: 0,5
Б: 5
B: -0,5
Г: -5

пример ниже, от вас решение и ответ, желательно на тетради, буду очень благодарен.​

Приложения:

Ответы

Ответ дал: biasw
0

Ответ:

и что сложного?

а²-2аb+2b²=(а-b)²

 \frac{(a - b) {}^{3}  (a + b)}{(a - b) {}^{2} }  \\ (a - b)(a + b)  = a {}^{2}  -  {b}^{2} 0,6²-0,4²=0.36-0,16=0,2

ответ: В

Вас заинтересует