• Предмет: Математика
  • Автор: outryzen31
  • Вопрос задан 1 год назад

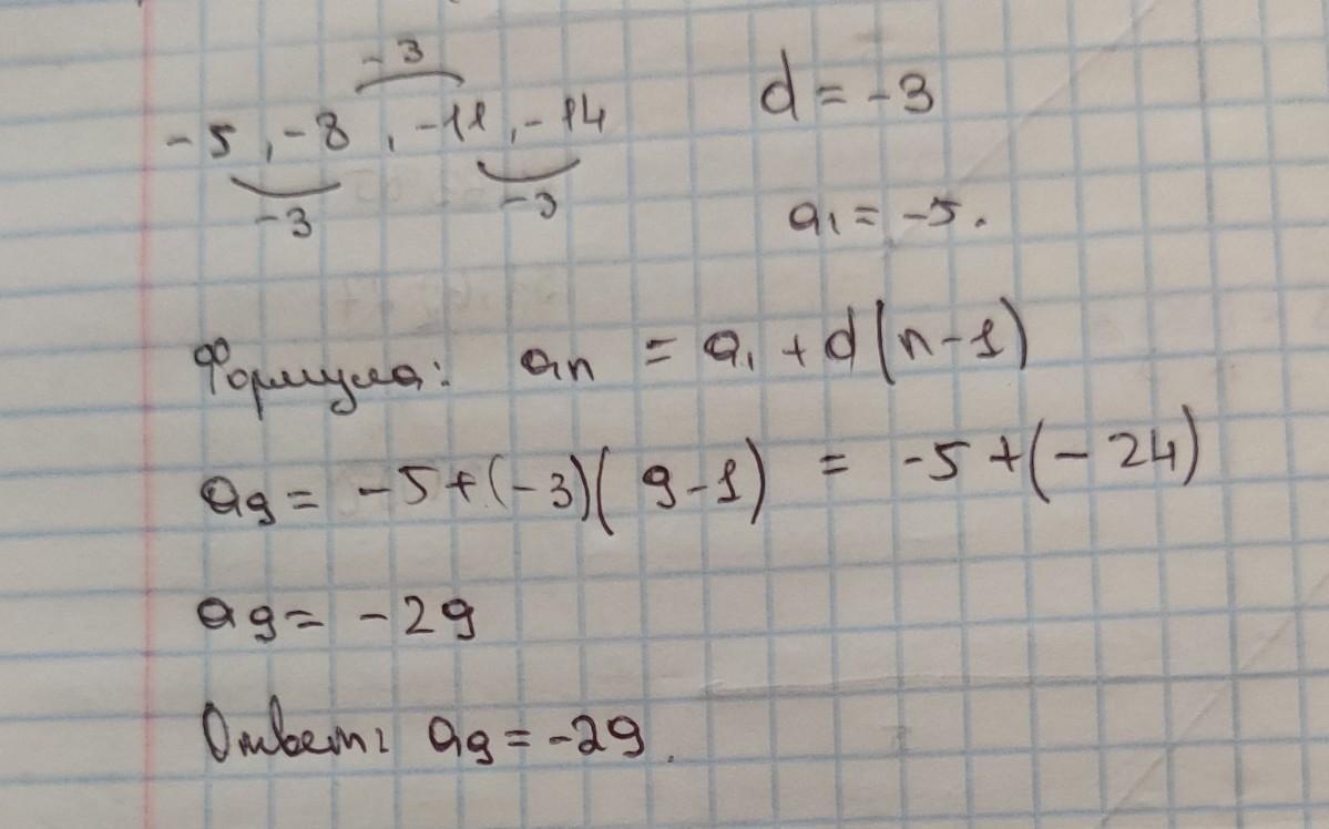
Найдите девятый член арифметической прогрессии -5,-8,-11,-14

Ответы

Ответ дал: Fingerxxa
0

Ответ:

во вложении

Пошаговое объяснение:

во вложении

Приложения:
Вас заинтересует