даю 30 балів!!! За неповні, неправильні відповіді чи спам - буду скаржитися! Рівносторонній трикутник АВС та прямокутний рівнобедрений трикутник АВД із прямим кутом Д лежать у перпендикулярних площинах. Знайдіть відстань СД, якщо АВ=4см. з малюнком і поясненням.
antonovm:
вы упорно размещали эту задачу ( уже второй день и в разных разделах ) , не хотел делать , уж больно примитивна , но украинцам надо помогать !
Ответы
Ответ дал:
1
Ответ:
4 .............................
Пошаговое объяснение:
Приложения:
использовал утверждение ( одно из свойств перпендикулярных плоскостей ) : если в одной из 2-х перпендикулярных плоскостей провести перпендикуляр к их линии пересечения , то он будет перпендикулярен второй плоскости
antonovm , помогите пожалуйста ! Буду очень благодарен !!
Как эта формула звучит устно?
Что это означает ?
Заранее благодарю !
https://znanija.com/task/54082340?utm_source=android&utm_medium=share&utm_campaign=question
Что это означает ?
Заранее благодарю !
https://znanija.com/task/54082340?utm_source=android&utm_medium=share&utm_campaign=question
Ответ дал:
1
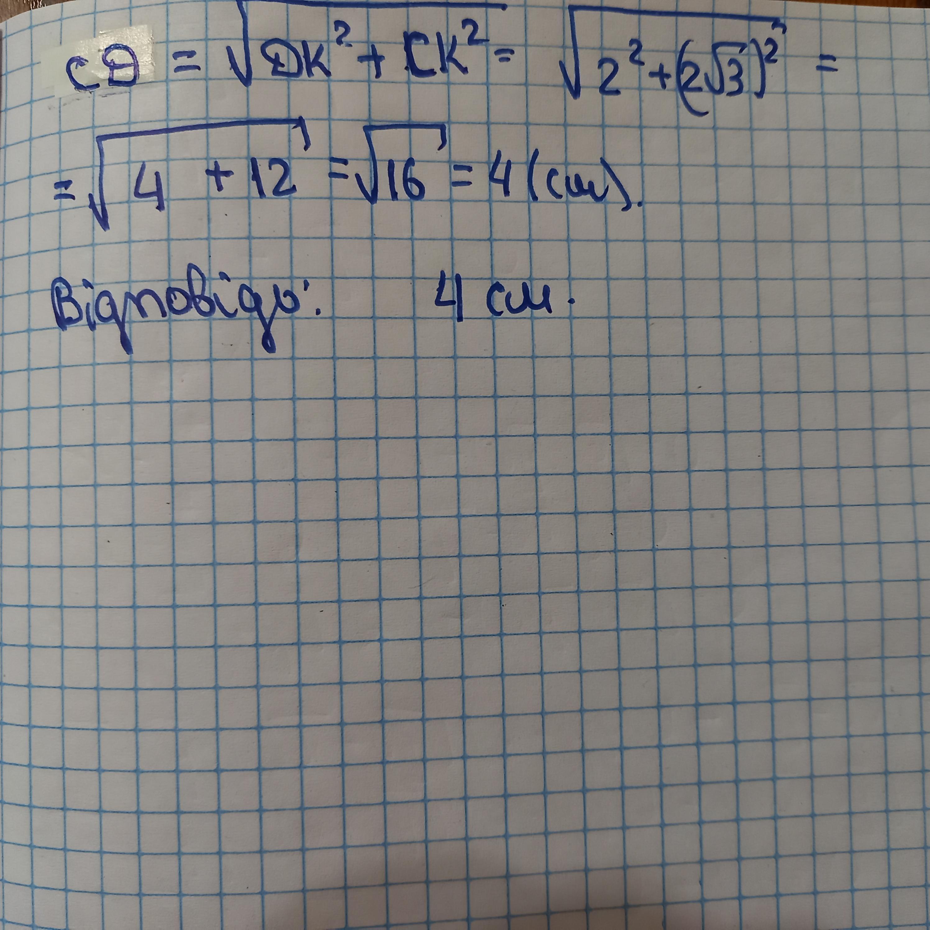
На ваше прохання.
Відповідь: 4 см.
Покрокове пояснення: розв'язання завдання додаю.
Приложения:
Велике ДЯКУЮ, що відгукнулися!!!
Вас заинтересует
1 год назад
1 год назад
2 года назад
2 года назад
3 года назад
3 года назад
8 лет назад