Ответы
Ответ дал:
0
Ответ:
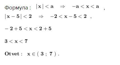
Формула : ,
Приложения:

Ответ дал:
0
Целые решения неравенства : 4 ; 5 ; 6
Их произведение равно : 4 * 5 * 6 = 120
Ответ : 120
Вас заинтересует
1 год назад
1 год назад
1 год назад
2 года назад
2 года назад
8 лет назад