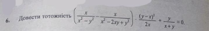
СРОЧНООООО, РЕШИТЕ ПОЖАЛУЙСТА, ДАЮ 50 БАЛОВ, ЗАДАНИЕ НА ФОТО
Приложения:

Аноним:
скину розв‘язок в інст @mathematic_89
Ответы
Ответ дал:
2
Ответ:
смотри на фото
Объяснение:
……………
Вас заинтересует
1 год назад
1 год назад
1 год назад
1 год назад
2 года назад
2 года назад
8 лет назад
8 лет назад