• Предмет: Математика
  • Автор: Pilot2k17
  • Вопрос задан 2 года назад

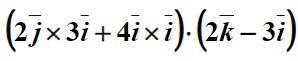
Вычислить
(2j x 3i +4i x i)*(2k-3i)

Приложения:

Ответы

Ответ дал: grishchenko3
0

Відповідь:

Всё будет на картинке

Покрокове пояснення:

Вроде правильно

Приложения:

Pilot2k17: К сожалению не то. Решение должно включать в себя матрицу.
Вас заинтересует