Ответы
Ответ дал:
1
Ответ:
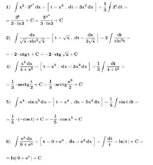
Вычислить интеграл .
Метод замены переменной .
Приложения:

Вас заинтересует
1 год назад
1 год назад
1 год назад
2 года назад
8 лет назад
8 лет назад