• Предмет: Алгебра
  • Автор: dmitrovasile
  • Вопрос задан 1 год назад

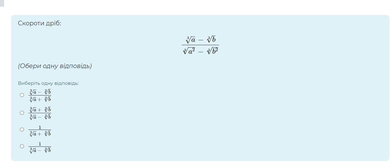
Скоротити дріб. (Обери одну відповідь)

Приложения:

Ответы

Ответ дал: Ivan19074
1

Ответ:

\frac{1}{\sqrt[3]{a} + \sqrt[3]{b} }

Объяснение:

\sqrt[3]{a^2} - \sqrt[3]{b^2} = \sqrt[3]{a}^2 - \sqrt[3]{b}^2 = (\sqrt[3]{a} - \sqrt[3]{b})(\sqrt[3]{a} + \sqrt[3]{b})\\

\frac{\sqrt[3]{a} - \sqrt[3]{b}}{(\sqrt[3]{a} - \sqrt[3]{b})(\sqrt[3]{a} + \sqrt[3]{b})} = \frac{1}{\sqrt[3]{a} + \sqrt[3]{b} }

Вас заинтересует