• Предмет: Информатика
  • Автор: prosto271210
  • Вопрос задан 2 года назад

напиши простой код на с++, чем короче тем лучше, без чата GPT пжпжпжжп

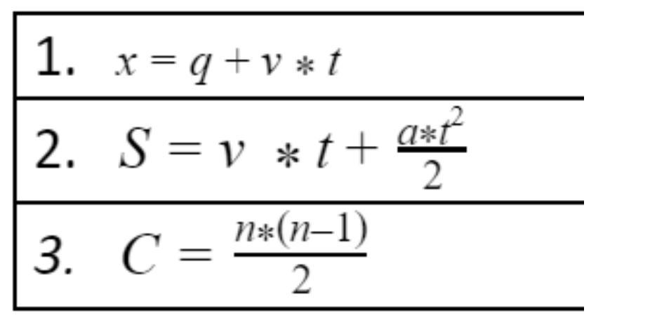
Приложения:

Ответы

Ответ дал: netbro99
0

#include <iostream>

using namespace std;

int main() {

char option;

cout << "Выберите формулу (x, s, или C): ";

cin >> option;

if (option == 'x') {

int q, v, t;

cout << "q, v, и t: ";

cin >> q >> v >> t;

int x = q + v * t;

cout << "x = " << x << endl;

} else if (option == 's') {

int v, t, a;

cout << "v, t, и a: ";

cin >> v >> t >> a;

int s = v * t + (a * t * t) / 2;

cout << "s = " << s << endl;

} else if (option == 'C') {

int n;

cout << "n: ";

cin >> n;

int C = (n * (n - 1)) / 2;

cout << "C = " << C << endl;

} else {

cout << "Неизвестная опция!" << endl;

}

return 0;

}

план простой, пишешь x, s или C

вводишь нужные параметры

и он выполняет формулу

Вас заинтересует