• Предмет: Алгебра
  • Автор: shumejkoalisa
  • Вопрос задан 1 год назад

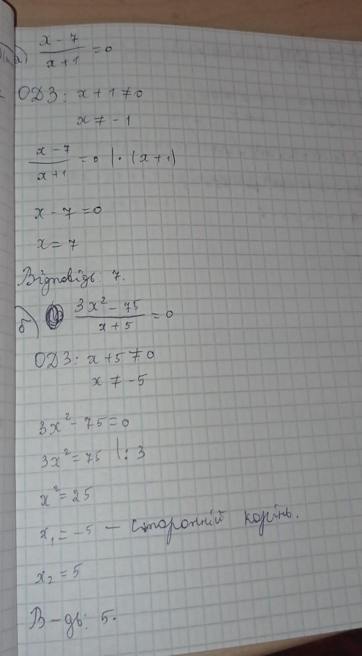
8.Розв'яжи рівняння.
a) (x - 7) / (x + 1) = 0
б) (3x²-75) / (X+5) = 0
в) (4x-3) / (x+1) = (4x+5) / (x-2)​


Аноним: скину розв‘язок в інст @mathematic_89
shumejkoalisa: ок сейчас напишу
shumejkoalisa: кинула запрос

Ответы

Ответ дал: iryna04
1

Ось розв'язок (Прикріпила фото)

Приложения:
Вас заинтересует