• Предмет: Алгебра
  • Автор: Аноним
  • Вопрос задан 1 год назад

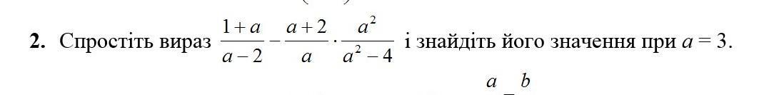
Даю 30 балов.Срочнооооооооо​

Приложения:

Ответы

Ответ дал: Veroni4ka777
0

Ответ:

Объяснение:

смотри фото

Приложения:
Вас заинтересует