• Предмет: Алгебра
  • Автор: kravevg1602
  • Вопрос задан 1 год назад

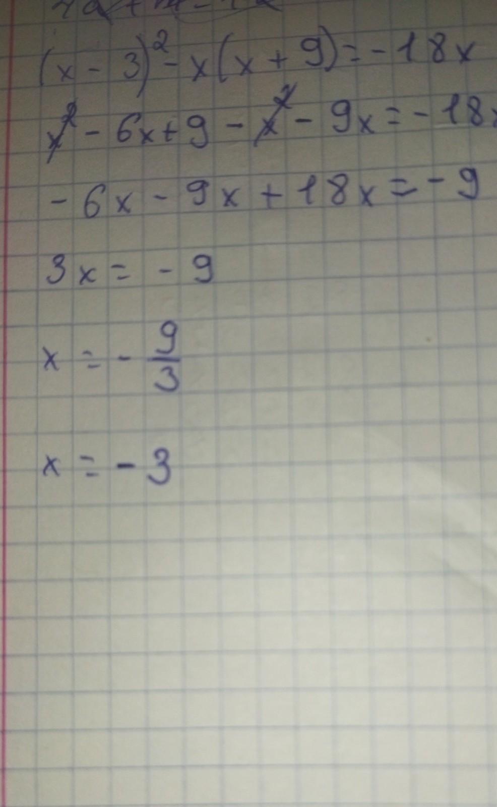
Відомо, що різниця виразів (x - 3) ^ 2 i x(x + 9) дорівнює -18х. 1) Складіть відповідну рівність і знайдіть значення x, при якому ця рівність є правильною. 2) Спростіть вираз 3x ^ 2 - (x - 2)(3x + 1) і знайдіть його значення, якщо x- корінь рівняння (x - 3) ^ 2 - x(x + 9) = - 18x

Ответы

Ответ дал: gulminamisrailova
3

..............................

Приложения:
Вас заинтересует