• Предмет: Алгебра
  • Автор: fyodordostoyevsky088
  • Вопрос задан 1 год назад

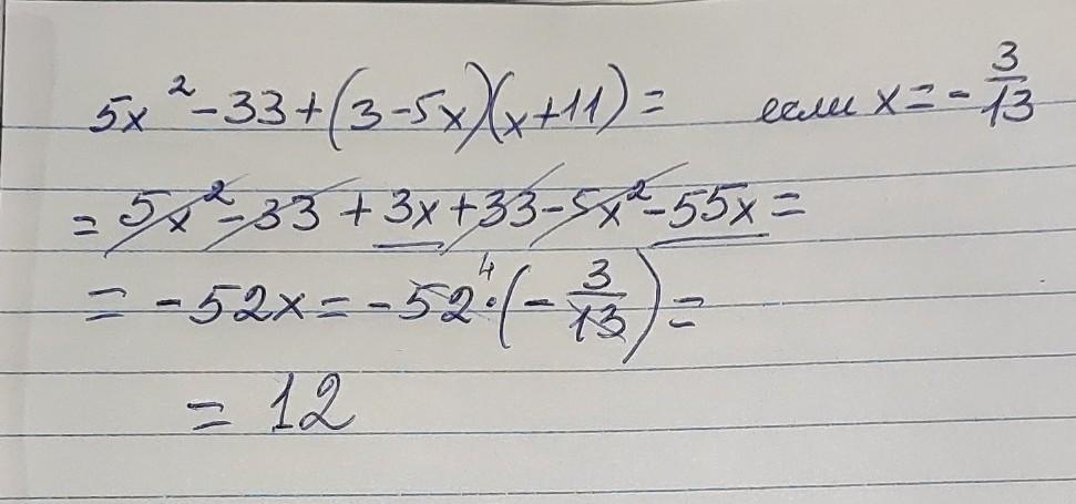
6) (5x ^ 2 - 33) + (3 - 5x)(x + 11) ,якщо x = - 3/13

Ответы

Ответ дал: tetamotatetyamotya
1

Ответ:

............

Объяснение:

................

Приложения:

fyodordostoyevsky088: Спасибо вам большое)
tetamotatetyamotya: на здоровье♥️
Вас заинтересует