• Предмет: Алгебра
  • Автор: toktalievkajrat19
  • Вопрос задан 2 года назад

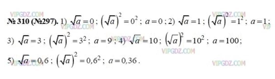
310. Найдите число, арифметический квадратный корень из которого равен 0; 1; 3; 10; 0,6.​

Ответы

Ответ дал: lizunovilya2010
1
Усе на фото …………..,.,.,,.,..,,.,.,.,..,,.,.,.,.,.,.
Приложения:
Вас заинтересует