• Предмет: Алгебра
  • Автор: k16749295
  • Вопрос задан 1 год назад

помогите пожалуйста, умолялю..

Приложения:

parus77: что делать?

Ответы

Ответ дал: Anutikbc
0

Ответ:

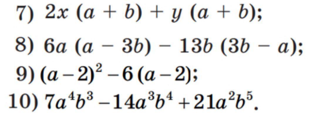
7. 2х(а+б)+у(а+б)= (2х+у)(а+б)

8. 6а(а-3б)-13б(3б-а)= (6а-13б)(а-3б)

9. (а-2)²-6(а-2)=а²-4а+4-6а+12=а²-10а+16

10. 7а⁴б³-14а³б⁴+21а²б⁵=7а²б³(1-2аб+3б²)

Вас заинтересует