Жаттығу
11
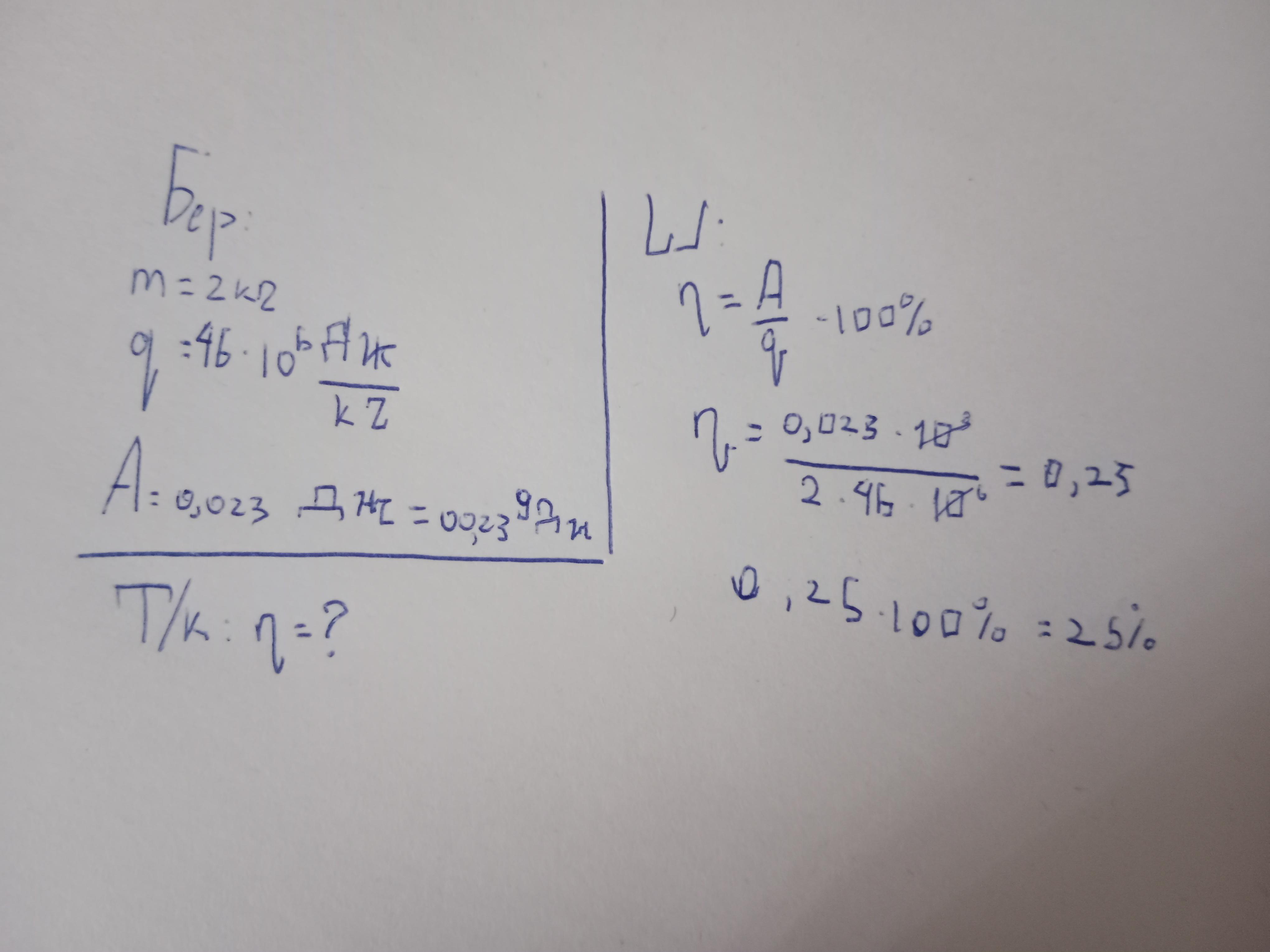
1. Іштен жану қозғалтқышы 2 кг бензин жұмсап, 0,023 ГДж-ға тең
пайдалы жұмыс жасады. Осы қозғалтқыштың ПӘК-ін табыңдар.
2. Erep 1 c iшiнде 12 кДж энергия бекер жұмсалған болса, осы уақыт
ішінде ПӘК-і 35% жылулық қозғалтқыштың қыздырғыштан алатын
жылу мөлшерін анықтаңдар.
3. Идеал мәшиненің ПӘК-і 40%. Суытқыштың температурасы 7 °С.
Қыздырғыштың температурасын анықтаңдар.
Ответы
Ответ дал:
17
Ответ: Только первый, сори
Объяснение:
Приложения:

bazaralimadina:
2 берші
Вас заинтересует
1 год назад
1 год назад
2 года назад
2 года назад