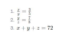
Число 72 розділити на три частини так, щоб перша відносилась до другої як 3:5, а друга до третьої - як 7:8.
Ответы
Ответ дал:
2
вот ответ ........................................................
Приложения:

Вас заинтересует
1 год назад
1 год назад
1 год назад
1 год назад
2 года назад
2 года назад
8 лет назад