Ответы
Ответ дал:
0
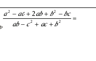
числитель (а²+2ав+в²)-с*(а+в)=(а+в)²-с*(а+в)=(а+в)*(а+в-с)
знаменатель а(в+с)-(с²-в²)=а(в+с) - (с-в)(с+в)=(в+с)(а+в-с)
скобку (а+в-с) в числителе и в знаменателе сокращаем, остается
(а+в) / (в+с)
знаменатель а(в+с)-(с²-в²)=а(в+с) - (с-в)(с+в)=(в+с)(а+в-с)
скобку (а+в-с) в числителе и в знаменателе сокращаем, остается
(а+в) / (в+с)
Вас заинтересует
3 года назад
3 года назад
8 лет назад
8 лет назад
11 лет назад
11 лет назад
11 лет назад