Ответы
Ответ дал:
2
Покрокове пояснення:
Приложения:

Ответ дал:
1
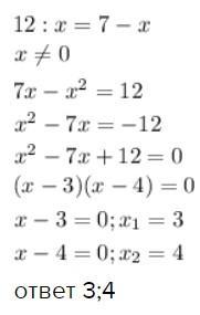
Ответ:
Пошаговое объяснение:
12/x=7-х
х=7-12/x
x=7x-12/x
x^2-7x+12=0
первый x= 3
второй x = 4
Вас заинтересует
1 год назад
1 год назад
1 год назад
2 года назад
2 года назад
8 лет назад