СРОЧНО ДАМ 100 БАЛІВ
розкладіть на множники способом групування
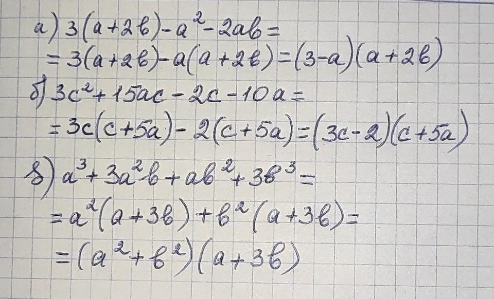
а)3(а+2в)-а²-2ав
б)3с²+15ас-2с-10а
в)а³+3а²в+ав²+36³
Ответы
Ответ дал:
0
Ответ:
...................
Объяснение:
в последнем примере скорее всего не 36³,а 3b³.Исправьте
Приложения:

Вас заинтересует
1 год назад
1 год назад
1 год назад
2 года назад
8 лет назад