• Предмет: Алгебра
  • Автор: esipovadiana88
  • Вопрос задан 1 год назад

Допоможіть будь ласка!!!
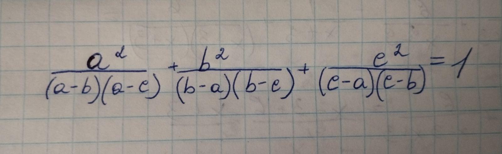
!!!!Доведіть тотожність!!!!

Приложения:

Ответы

Ответ дал: lisun58
1

Объяснение:

сподіваюся допомогла :)

Приложения:
Вас заинтересует
1 год назад