• Предмет: Алгебра
  • Автор: lastChristmas2024
  • Вопрос задан 2 года назад

Помогите пожалуйста.
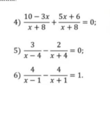
Розв'язати рівняння:

Приложения:

Ответы

Ответ дал: uiibababoj
0

Ответ:

4) неможливо

5) - 20

6) х=-3

х=3

Объяснение:

 \frac{10 - 3x + 5x + 6}{x + 8}  = 0 \\  \frac{16 + 2x}{x + 8}  = 0 \\  \frac{2x + 16}{x + 8}  = 0 \\  \frac{2(x + 8)}{x + 8}  = 0 \\ 2 = 0

 \frac{3(x + 4) - 2(x - 4)}{(x - 4) \times (x + 4)}  = 0 \\  \frac{3x + 12 - 2x + 8}{(x - 4) \times (x + 4)}  = 0 \\  \frac{x + 20}{(x - 4) \times (x + 4)}  = 0 \\ x + 20 = 0 \\ x =  - 20

 \frac{4}{x - 1}  -  \frac{4}{x + 4}  - 1 = 0 \\  \frac{4(x + 1) - 4(x - 1) - (x - 1) \times (x + 1)}{(x - 1) \times (x + 1)}  = 0 \\ 4(x + 1) - 4(x - 1) - (x - 1) \times (x + 1) = 0 \\ 4x + 4 - 4x + 4 - ({x}^{2}  - 1) = 0 \\ 4 + 4 -  {x}^{2}  + 1 = 0 \\ 9 -  {x}^{2}  = 0 \\  -  {x}^{2}  =  - 9 \\  {x}^{2}  = 9 \\ x =  - 3 \:  \: x = 3

Вас заинтересует