• Предмет: Математика
  • Автор: annamironova562
  • Вопрос задан 1 год назад

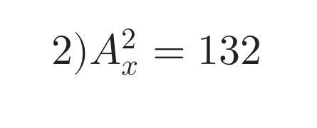
Помогите пожалуйста с решением

Приложения:

Ответы

Ответ дал: NOVEMBE0
0

Ответ:

нету правильного ответа и все

Вас заинтересует