Ответы
Ответ дал:
0
вроде бы так, но не уверена)
Приложения:

Ответ дал:
0
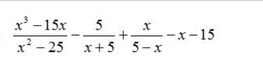
общий знаменатель:(x-5)(x+5)
к первой дроби множитель-1,ко второй- x-5,к третьей- x+5,к иксу- x^2-25, к пятнадцати - x^2-25
Раскрываем скобки:
x^3-15x-5^x+25-x^2-5x-x^3+25x-15X^2+375
там некоторые числа взаимоуничтожаются и остается:
-16x^2=-400
x^2=25
x=+-5
к первой дроби множитель-1,ко второй- x-5,к третьей- x+5,к иксу- x^2-25, к пятнадцати - x^2-25
Раскрываем скобки:
x^3-15x-5^x+25-x^2-5x-x^3+25x-15X^2+375
там некоторые числа взаимоуничтожаются и остается:
-16x^2=-400
x^2=25
x=+-5
Приложения:

Вас заинтересует
2 года назад
8 лет назад
8 лет назад
10 лет назад
10 лет назад