• Предмет: Математика
  • Автор: asema3776
  • Вопрос задан 1 год назад

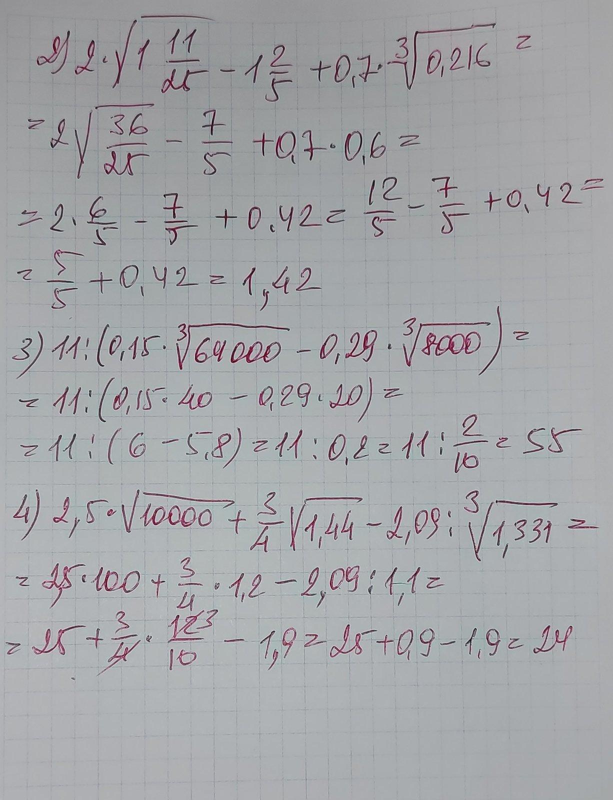
Выполните действия
Помогите пожалуйста,только 9.6(2,3,4)пожалуйста срочно надо
Заранее спасибо ❤️

Приложения:

Ответы

Ответ дал: ub1618
0

Відповідь:

1,42

55

24

Покрокове пояснення:

См. вложение

Приложения:
Ответ дал: aarr04594
0

#######636######636####

Приложения:
Вас заинтересует